全球领先!这群上海医生实现 1 型糖尿病功能性治愈

专属客服号

微信订阅号
大数据治理
全面提升数据价值
赋能业务提质增效
在糖尿病患者中,有一群人注定要与胰岛素相伴终生。
这群人,就是 1 型糖尿病患者。
但胰岛素并非万能。即使规范治疗,许多患者的血糖控制仍难以达标;而胰岛素过量引发的反复严重低血糖,可能造成不可逆的神经损伤,甚至危及生命。
近日,海军军医大学第二附属医院(上海长征医院)殷浩教授团队,为「糖尿病能否治愈」这个问题给出了全新答案。
殷浩教授团队在全球率先分别利用自体与异体干细胞来源的再生胰岛(E-islet),通过微创移植实现了胰岛功能重建与血糖自主调控。
1 型糖尿病,可以实现功能性治愈。
丁香园特邀 海军军医大学第二附属医院(上海长征医院)殷浩教授 进行独家对话。

打了一辈子胰岛素,近 8 成患者血糖却不达标
对于 1 型糖尿病患者,由于自身免疫攻击导致 β 细胞几乎全部丧失,外源性胰岛素是目前唯一的长期治疗手段。部分进展至胰岛 β 细胞功能严重衰竭的 2 型糖尿病患者也同样如此。
外源性胰岛素的作用,本质上是「降血糖」——减少酮症酸中毒、急性高血糖及远期并发症的风险。
但再精密的胰岛素方案,也只是「替代」,而非「复原」。
健康胰岛能按需要动态分泌胰岛素,这种精细的生理调控,目前的外源性治疗很难真正复制。
研究显示,以 HbA1c<7% 为达标线,美国真实世界成人 1 型糖尿病患者中,约 77% 血糖未达标,其中约 32.5% 控制明显较差(HbA1c>9%)。[1]
国内情况同样不容乐观。
一项全国多中心住院 1 型糖尿病注册研究显示,患者平均 HbA1c 高达 10.7%,酮症酸中毒在疾病发作时的发生率为 41.1%。[2]
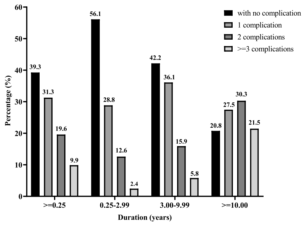
长期血糖失控,并发症接踵而至,包括糖尿病周围神经病变(45.3%),视网膜病变(24.4%)、肾病(19.7%)。病程 ≥ 10 年的住院 1 型糖尿病患者中,慢性并发症患病率更高达 79.2%,严重者将面临截肢、失明、肾衰竭的风险。[2]

图源:参考资料 2
殷浩指出,脆性 1 型糖尿病是以血糖高度波动、反复严重低血糖为特征的难治性临床状态,约占 1 型糖尿病患者中 6%。「这些 1 型糖尿病患者主要表现为反复的低血糖发作,目前内科治疗没有很好的预防方法。」
因此,寻找外源性胰岛素之外的疗法,显得尤为迫切。
科学家很早就意识到,移植功能正常的胰腺或胰岛,或许能从根本上解决问题。

丁香园根据参考资料 3~5 整理制图
1967 年,Paul E. Lacy 提出,移植朗格汉斯岛(胰岛)可能比外源性胰岛素治疗更具优势——胰岛里,正是糖尿病中被破坏的那批分泌胰岛素的细胞。1972 年,他的团队在动物模型中首次通过这一方法逆转了糖尿病。[6]
但早期临床转化并不顺利。胰岛仅占胰腺体积的约 1~2%,分离技术极为复杂;移植后的免疫排斥与免疫抑制药物毒性同样棘手,早期大剂量糖皮质激素的使用更被认为对移植胰岛并不友好。
因此,1990 年代胰岛移植总体效果不稳定,1 年胰岛素脱离率仅为个位数到低双位数。
转折点出现在 2000 年——Shapiro 团队发表 Edmonton 方案,连续 7 例 1 型糖尿病患者实现了良好的血糖控制与胰岛素脱离,现代临床胰岛移植由此进入新阶段。[5]
此后疗效持续提升,2026 年全球已有逾 5,000 余名患者接受临床胰岛移植,移植后 大多数受者可显著改善血糖控制、减少严重低血糖并恢复低血糖感知,60% 患者可脱离胰岛素超过 5 年,最长一例已维持 20 多年。[7]
在国内,这项技术已有十余年探索历程。
2011 年,殷浩赴美国芝加哥大学附属医院担任访问学者,系统学习胰岛细胞移植治疗,2013 年回国后开展大量动物实验,并多次赴日本向顶尖专家 Hirofumi Noguchi 教授请教。
2016 年 12 月,殷浩团队完成上海市第一例脑死亡后器官捐献(Donation after Brain Death,DBD)胰岛移植手术。
「这位 67 岁患者因糖尿病引起肾衰竭,此前已接受肾脏移植,但血糖始终不稳定。如果不做胰岛细胞移植,平均 5 年后肾脏会再次衰竭,患者将不得不重新透析,或者再次换肾。」殷浩回忆道。

殷浩教授团队进行胰岛移植微创手术 图源:上海长征医院
然而,技术存在与临床规模化之间仍有相当距离——胰岛分离技术复杂,供体来源极为稀缺。
「我们需要非常高质量的胰腺供体,实际上比心脏、肝脏的要求还要严苛,对供体年龄、既往病史的筛选标准极高。」
这也意味着,等待移植的患者远多于可用的供体。
从实验室到临床,再生胰岛的下一步
在这样的背景下,一个新的方向逐渐浮现:能否在体外再造胰岛组织,从根本上突破供体短缺的瓶颈?
「体外再造的意义在于两点:一是扩大胰岛来源,让更多患者获得治疗机会;二是有望解决异体免疫排斥/1 型自身免疫攻击的问题,实现免疫抑制剂的减量甚至脱离。」
殷浩介绍,器官的制造,需要从细胞到组织层面开始,胰岛本质上是一种功能性微器官,主要由 α、β、δ、PP 和 ε 五类内分泌细胞构成。
而器官制备的常用的主要为「多能干细胞」。它像一棵树的根,理论上可以分化为人体几乎所有细胞类型。
此前已有研究团队利用多能干细胞定向分化,获得包括 β 细胞在内的胰岛内分泌细胞。
ViaCyte 的 I/II 期临床研究显示,胚胎干细胞来源的胰腺前体/内胚层细胞在皮下植入后,可在 1 型糖尿病患者体内进一步分化,并产生餐刺激相关、葡萄糖反应性的 C 肽分泌;但细胞植入后的成熟效率和胰岛素输出仍不足,临床获益主要局限于部分患者,尚未稳定实现广泛意义上的正常血糖重建。[8]
Vertex(Semma)公司也于 2021 年 7 月启动了胚胎干细胞来源再生胰岛的临床移植研究。[9]
然而,从多能干细胞到功能性胰岛细胞,中间要经历极为复杂的分化过程——步骤多、路线长,体外精准调控困难,产品纯度不足,还可能残留未完全分化的细胞。这些残留细胞具有持续增殖潜能,理论上存在体内成瘤风险。

研究团队照片 图源:上海长征医院
为此,殷浩与中国科学院分子细胞科学卓越创新中心程新教授决定换一条路:不从「树根」出发,而是寻找多能干细胞下游、具有特异性分化潜能、且不具成瘤性的新型干细胞。
两个团队共同建立了一套基于内胚层干细胞(Endoderm stem cell,EnSC)的全新技术体系。内胚层本就是将来发育为胰腺、肝脏等器官的胚层,分化方向明确,步骤精简至两步,生产周期从 40 天压缩至 14 天,且内胚层干细胞在体内不会无限增殖,从根本上消除了成瘤风险。
殷浩坦言,这条路的容错率极低,需要在实验室数周内,模拟甚至压缩母体十月怀胎乃至出生后十余年的成熟过程。
整个技术体系历经近 20 年,才从实验室走向临床。团队于 2019 年通过伦理审评, 2021 年开展第一例移植手术,期间开展了大量动物实验以确保安全性与疗效。
全球首例,实现 1 型糖尿病功能性治愈
2021 年 7 月,殷浩团队作为世界范围内首次报道的(first-in-human)通过利用干细胞来源的自体再生胰岛组织移植治愈胰岛损伤性 2 型糖尿病的探索性临床研究,研究成果于 2024 年发表于 Nature 子刊 Cell Discovery。[10]

图源:参考资料 10
研究纳入一名 59 岁男性患者,糖尿病病史 25 年,因终末期糖尿病肾病于 2017 年接受肾移植,术后血糖持续控制不佳。
团队将约 120 万胰岛当量(IEQ)经皮经肝门静脉移植入体内。术后第 11 周,患者完全停用外源性胰岛素,此后陆续停用口服降糖药。

丁香园根据参考资料 10 整理制图
随访 116 周(约 27 个月)显示,HbA1c 由基线 6.6% 降至 4.6%,空腹 C 肽较术前提高约 3 倍,整个随访期内未再出现低血糖或严重高血糖,影像学及肿瘤相关指标监测亦未见异常。
一个月前,殷浩团队再度于柳叶刀子刊 Lancet Diabetes & Endocrinology 发表最新成果。[11]

图源:参考资料 11
研究团队成为世界范围内首次报道的、分别利用干细胞来源的自体/异体再生胰岛移植治疗 1 型糖尿病的探索性临床研究,实现了胰岛功能重建与血糖自主调控。
上下滑动查看完整内容
丁香园根据参考资料 11 整理制图
在技术路线上,团队目前已完成自体与异体两种来源的再生胰岛(E-islet)移植。前者取自患者本人血细胞,后者来自健康供体血细胞,各有其适用逻辑。
对 1 型糖尿病患者,由于病因本身为自身免疫异常,自体来源仍需使用免疫抑制剂。
殷浩指出,两者的真正区别在于生产端。「自体可以认为是定制,异体则能实现批量生产,未来质量一致性更高。」

图源:上海长征医院
目前,异体人再生胰岛注射液 E-islet01 已于 2025 年 4 月和 2026 年 1 月先后获得中国与美国的新药临床试验(IND)批件,即将进入 II 期临床阶段。
「这一疗法有望为全球 1,000 余万的 1 型糖尿病患者带来明显获益,也为全胰腺切除术后、肾移植后合并胰岛功能衰竭等其他胰岛功能接近衰竭的患者提供全新治疗。」殷浩表示。
基于内胚层干细胞的技术体系,不仅可以再生胰岛。「团队目前已向肝脏及其他组织器官延伸研发,后续将这套体外再造逻辑拓展至器官严重受损或衰竭的疾病领域。」

器官移植科团队合影 图源:上海长征医院

致谢:本文经 海军军医大学第二附属医院(上海长征医院)殷浩教授 专业审核
参考资料
[1]https://t1dexchange.org/wp-content/uploads/2024/02/diaclincd220067.pdf
[2]https://onlinelibrary.wiley.com/doi/10.1002/dmrr.3796
[3]https://link.springer.com/chapter/10.1007/978-3-031-20999-4_5
[4]https://www.thelancet.com/journals/lancet/article/PII0140-6736(90)91946-8/fulltext
[5]https://www.nejm.org/doi/10.1056/NEJM200007273430401
[6]https://www.sciencedirect.com/science/article/abs/pii/S0188440905000561
[7]https://www.nature.com/articles/nrendo.2016.178
[8]https://www.nature.com/articles/s41587-023-02055-5
[9]https://news.vrtx.com/news-releases/news-release-details/vertex-presents-positive-data-zimislecel-type-1-diabetes
[10]https://www.nature.com/articles/s41421-024-00662-3
[11]https://www.thelancet.com/journals/landia/article/PIIS2213-8587(25)00423-1/fulltext
丁香园是面向医疗从业者的专业平台,以「助力中国医生」为己任。在丁香园,可以和同行讨论病例 ,在线学习公开课,使用用药助手等临床决策工具,在丁香人才找可靠医疗岗位。


